Ablenkung im Querfeld – Braunsche Röhre

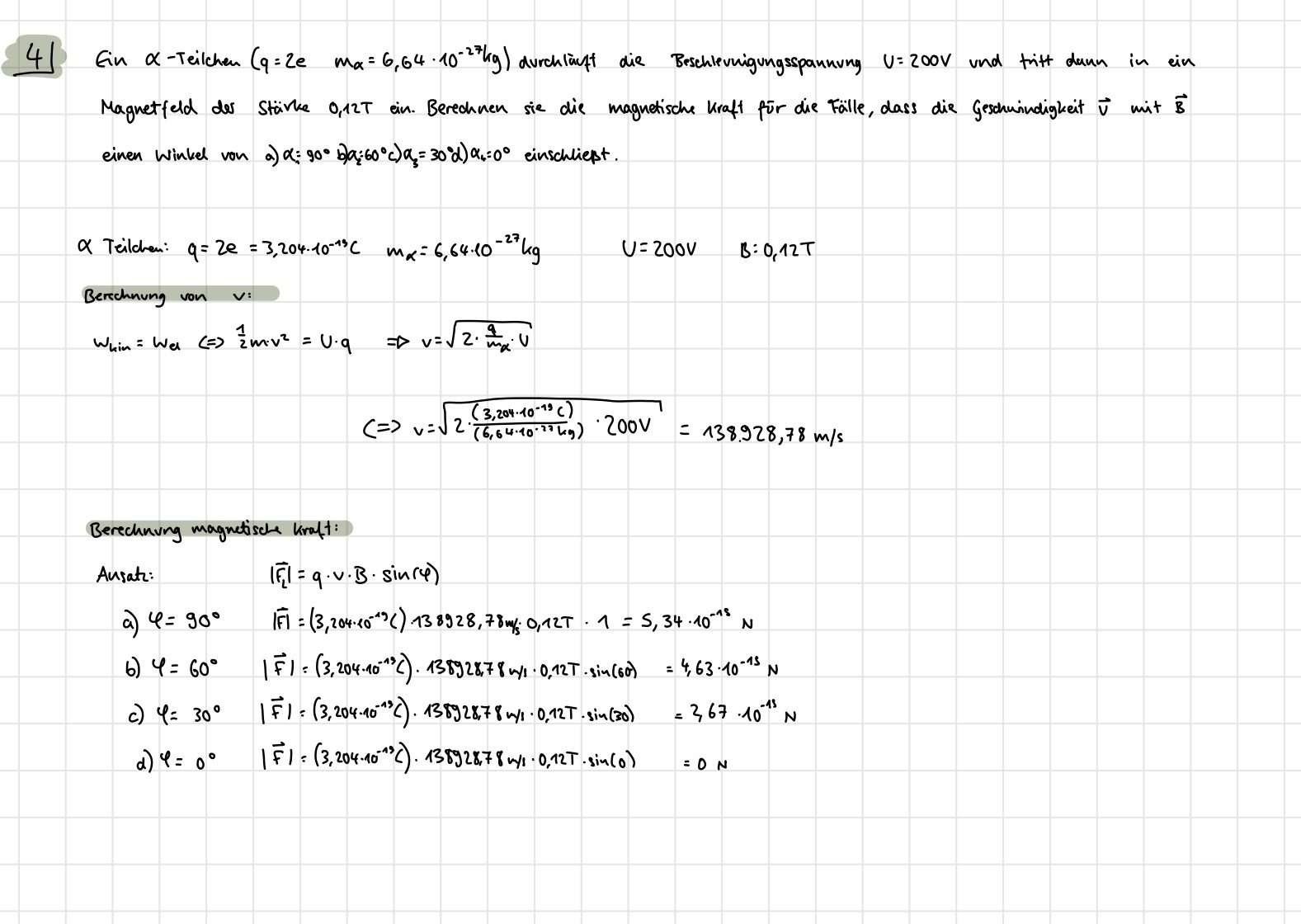
Lorentzkraft – Kraft auf sich bewegende geladene Teilchen in B-Feldern

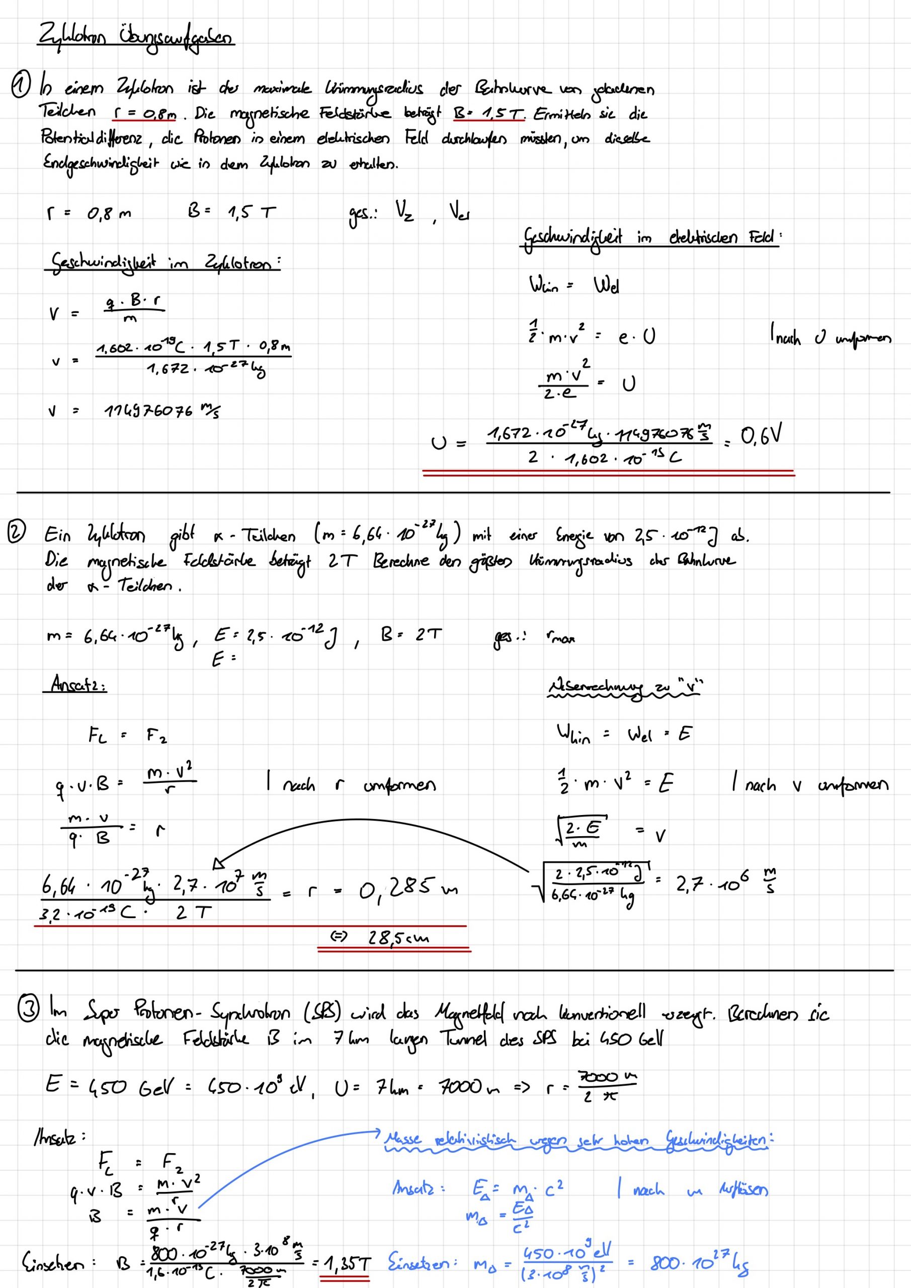
Anwendung Teilchen in Feldern – Zyklotron und Synchrotron

Erklärung zum Hall-Effekt mit angeschlossener Einstiegsaufgabe

Anwendung von Teilchen in Feldern – Teilchenbeschleuniger Zyklotron und Synchrotron

Hier kommt nicht jeder durch – der Geschwindigkeitsfilter

„Schablone“